手持式光谱仪手持式合金分析仪合金分析仪
股票代码:300165 企业邮箱 投资者关系

食品安全

您当前所在页:首页 > 解决方案 > 食品安全

HPLC-ICPMS联用测定大米中汞形态

发布日期:2021/11/17 15:44:35  点击次数:110035

随着工业的发展,汞污染越来越严重。由于汞的污染特性,不易分解及转移。造成了食品中富集了各种含汞化合物,从而导致各种慢性、急性汞中毒事件频出。目前,食品中汞的主要存在形式可分为无机汞和有机汞两大类,其中有机汞的毒性远大于无机汞,无机汞主要是对肾脏有毒性作用,而有机汞主要对脑组织伤害比较大。因此对汞形态的监测显得尤为重要。

本文参考国家卫生和计划生育委员会发布的《GB 5009.17-2014 食品中甲基汞的测定》,通过HPLC-ICPMS联用,采用C18柱,利用等度洗脱的方式对稀酸浸提后的大米进行了分析,同时对样品采取了加标处理,且加标回收率良好。测试结果表明,该方法能够快速准确地进行大米样品中汞形态的分析。

1.仪器简介

本方法采用Skyray Instrument LC-310E与ICP-MS 2000E联用,采用一键式数据采集、精准式谱图定位及强大的软件谱图处理功能,可满足不同的形态测试需求(如图1)。

图1.HPLC-ICPMS联用测汞形态的分析仪


2.测试原理

样品溶液经过前处理,由HPLC进样口进样,经色谱柱分离,通过雾化器雾化后送入高温等离子体中,干燥、原子化、电离,元素离子经接口室进入质谱仪,通过离子透镜系统、质量分析器及检测器,检测器对相应元素离子做出响应(每秒离子计数cps(counts per second),经软件处理,响应强度和时间组成的峰面积与相应组分离子浓度成正比关系进行定性定量分析。

3.实验部分

3.1实验设备及试剂

液相色谱-电感耦合等离子体质谱联用仪(8868体育(中国)官方网站-登录入口);

电子天平(BSA224S,赛多利斯);

色谱柱(Ultimate  XB-C18,4.6×150mm,5μm);

超纯水系统(Millipore,电阻率为18.25MΩ·cm);

盐酸(优级纯,Scharlau);

氨水(优级纯,上海晶纯试剂有限公司);

乙酸铵(优级纯,阿拉丁化学试剂);

L-半胱氨酸(生物纯,阿拉丁化学试剂);

甲醇(色谱纯,Oceanpak 色谱纯试剂);

汞形态标准溶液(水中汞GBW(E)083186、甲基汞GBW(E)083364、乙基汞GBW(E)081524,中国计量科学院);

超声波(KH-500E,昆山禾创);

双功能水浴恒温振荡器(SHA-B,江苏国华);

高速离心机(TG16G,凯特)。

3.2样品前处理

称取大米样品1.0g(精确至0.001g),置于15mL的离心管中,加入10mL的盐酸溶液(5mol/L)静置过夜。后经常温水浴振荡60min,于4℃下以8000r/min的转速进行离心15min。取上层清液2mL至5mL的容量瓶中,用稀氨水调节PH到7.0,再加入0.1mL的L-半胱氨酸(10g/L),最后用超纯水定容至刻度并摇匀。用0.45μm的有机系滤膜过滤后,待测。

3.3流动相及汞形态标准溶液配制

3.3.1流动相的配制

60mmol/L乙酸铵+0.1%L-半胱氨酸+5%甲醇:称取4.627g乙酸铵,1.21gL-半胱氨酸于100mL容量瓶中,加入少量的超纯水并于电热板上加热使其完全溶解,冷却后定容至100mL。将定容好的溶液移入1000mL的淋洗液瓶中,同时加入50mL的甲醇,定容至1L。经0.45μm的有机系滤膜过滤后,于超声波超声脱气30min,现用现配。

3.3.2汞形态标准溶液:

三种汞标准溶液采用淋洗液按照梯度浓度的方式依次被稀释为1.0µg/L、2.0.µg/L、4.0µg/L、8.0µg/L、10.0µg/L 混合标准溶液,同时配制5µg/L三种汞形态的单标溶液,用来判别每种汞形态的出峰时间。

3.4实验条件

3.4.1色谱条件

     色谱条件详见表1。

表1. HPLC分析条件

参数

参数设定

色谱柱

Ultimate  XBC185μm150×4.6mm

流动相

60mmol/L乙酸铵0.1%L-半胱氨酸5%甲醇pH=7.0

1.0mL/min

25℃

进样量

100μL

洗脱程序

等度洗脱

3.4.2质谱条件

     ICP-MS分析条件见表2。

表2.ICP-MS分析条件

参数

参数设定

参数

参数设定

1300W

等离子气

13L/min

辅助气

1.06L/min

1.2L/min

采样深度

16

分析模式

标准模式

待测质量数

202amu

驻留时间

10ms


3.5实验结果

3.5.1标准曲线

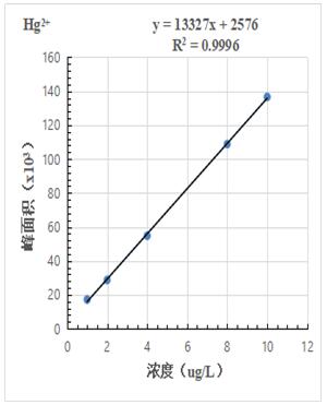
按照混合标准溶液浓度1.0µg/L、2.0.µg/L、4.0µg/L、8.0µg/L、10.0µg/L 进样得到色谱图,计算其峰面积,以浓度和峰面积绘制标准曲线,线性相关系数均大于0.999,结果详见图2-1~2-3。

图2-1.Hg2+标准曲线 

图2-2.MetHg标准

图2-3.EtHg标准曲线

3.5.2色谱分离图

1.0µg/L、2.0.µg/L、4.0µg/L、8.0µg/L、10.0µg/L 汞形态混合标准溶液分离色图谱如图3所示,其中无机汞(Hg2+)、甲基汞(MetHg)、乙基汞(EtHg)相对保留时间分别为118s、185s、379s,从谱图叠加图上可以看出,三种汞形态出峰时间稳定,且分离度较好。

图3. 汞形态混合标准溶液分离图谱

      3.5.3 检出限

          如图4所示为1.0µg/L汞形态混和标准溶液分离图谱,以各形态峰附近基线处的3倍信噪比(S/N)峰高对应的浓度作为检出限,溶液中Hg2+、MetHg、EtHg分别为0.112µg/L、0.0718µg/L、0.0698µg/L。

图4. 1.0µg/L汞形态混合标准溶液图谱

3.5.4 测试结果

以大米样品为试样,进行稀酸浸提,同时为了考察方法的准确性,并对大米试样采取了加标的方式,测试结果详见表3。

表3   大米样品及样品加标结果

组分名称

稀释后浓度

原液浓度

加标后浓度

加标回收率

µg/L

µg/kg

µg/L

%

无机汞

0.227

5.68

5.84

112

甲基汞

未检出

ND

4.50

90

乙基汞

未检出

ND

4.67

93



图5. 大米样品及样品加标5.0µg/L图谱

4. 结论

本文建立了LC-ICPMS测试大米中汞形态的分析方法,结果表明该方法检出限低、测试结果准确,其加标回收率在90%~112%之间,线性相关系数均在0.999以上;同时汞的三种形态能够在8min左右完成,且分离度较好,该方法可满足食品中大米样品汞形态分析的要求。

5.参考文献

 [1] 国家卫生和计划生育委员会发布 GB 5009.17-2014食品安全国家标准 食品中甲基汞的测定 液相色谱-原子荧光光谱联用方法,2015。


相关产品

联系我们

了解更多详细信息,请致电
400-7102-888
非工作时间服务热线
139 1323 1381
给我们留言
在线留言
微信售后服务二维码